胡丙诺非
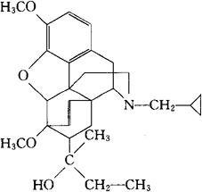
C28H37NO4=451.60 CAS-16549-56-7 22-环丙基-7α-((R)-1-羟-1-甲丙基-6,14-内-亚乙烯基四氢蒂巴因。 22-Cyclopropyl-7α-((R)-1-hydroxy-1-methylpropyl6,14-endo-ethenotetrahydrothebaine. 17-(环丙甲基)-4,5-环氧-α-乙基-3,6-二甲氧-α-甲基-6,14-亚乙烯基吗啡喃-7-甲醇。 17-(Cyclopropylmethyl)-4,5-epoxy-α-ethyl-3,6-dimethoxy-α-methyl-6,14-ethenomorphinan-7-methanol. 镇痛药。 Homprenorphine,R&S 5205-M,M-5202. INN,BAN,USAN. 
|