网站首页  词典首页


请输入您要查询的字词:

 

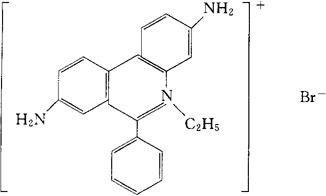
字词 胡溴铵
类别 中英文字词句释义及详细解析
释义 胡溴铵

C21H20BrN=394.31

CAS-1239-45-8

3,8-二氨基-5-乙基-6-苯基菲啶鎓溴化物。

3,8-Diamino-5-ethyl-6-phenylphenanthridinium bromide.

抗感染药。

Homidium Bromide.

INN,BAN,USAN.

随便看

 

离鸟网收录3541549条中英文词条,其功能与新华字典、现代汉语词典、牛津高阶英汉词典等各类中英文词典类似,基本涵盖了全部常用中英文字词句的读音、释义及用法,是语言学习和写作的有利工具。

 

Copyright © 2004-2024 vtrois.com All Rights Reserved
更新时间:2026/4/7 3:28:38