网站首页  词典首页


请输入您要查询的字词:

 

字词 胸腺卡丁
类别 中英文字词句释义及详细解析
释义 胸腺卡丁

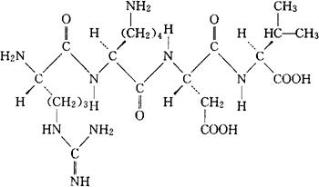
C21H40N8O7=516.60

CAS-85466-18-8

N-[N-(N2-L-精氨酰-L-赖氨酰)-L-α-门冬氨酰]-L缬氨酸。

N-[N-(N2-L-Arginyl-L-lysyl)-L-α-aspartyl]-L-valine.

免疫调节药。

Thymocartin,TP4.

INN,USAN.

随便看

 

离鸟网收录3541549条中英文词条,其功能与新华字典、现代汉语词典、牛津高阶英汉词典等各类中英文词典类似,基本涵盖了全部常用中英文字词句的读音、释义及用法,是语言学习和写作的有利工具。

 

Copyright © 2004-2024 vtrois.com All Rights Reserved
更新时间:2026/5/25 14:05:44