胸腺喷丁
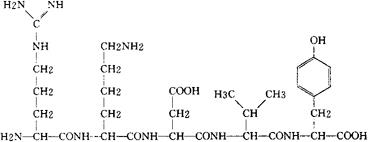
C30H49N9O9=679.77 CAS-69558-55-0 N-[N-[N-(N2-L-精氨酰-L-赖氨酰)-L-α-天冬氨酰]-L-缬氨酰]-L-酪氨酸。 L-Tyrosine,N-[N-[N-(N2-L-arginyl-L-lysyl)-L-α-aspartyl]-L-valyl]-. 免疫调节药。 Thymopentin,Thymopoietin,Thymin,Immunox,Sintomodulina,Timunox,ORF 15244,TP-5. INN,BAN,DCIT,USAN,MI. 
|