网站首页  词典首页


请输入您要查询的字词:

 

字词 脉冲星
类别 中英文字词句释义及详细解析
释义 脉冲星

是20世纪60年代天文学四大发现之一,它使得长期以来关于中子星的理论揣测成为观测事实,并使得致密星理论及恒星演化理论发展到一个新的阶段。

脉冲星研究对于射电天文学、X射线天文学、宇宙射线天文学均产生重要影响。此外,它还为星际空间研究及引力波探测提供了新的可能的观测手段。

1932年,查德威克(Chadwick)发现中子,同年,朗道(Аaндay)提出中子星设想。1934年,巴德(Badde)与兹威基(Zwicky)指出超新星爆发后的遗迹可能就是中子星。

1939年,奥本海默(Oppenheimer)与沃尔科夫(Volkoff)建立了简并中子气的中子星模型。1967年,在脉冲星发现前夕,帕西尼(Paccini)提出了自转轴与磁轴相互倾斜的磁中子星模型。尽管如此,中子星研究长期以来还是没有受到普遍重视。

1967年,休伊什(Hewish)领导剑桥大学射电天台进行一项射电流行星际闪烁的研究。

同年8月,贝尔(Bell)观测记录到一串来自天体的规则脉冲信号,这就是第1颗被发现的脉冲星PSR1919+21。

休伊什等至1968年2月宣布了这一发现,立即便轰动了国际天文界。此后,多颗脉冲星相继被发现,掀起了一股巨大的观测与研究脉冲星的热潮。

迄今为止,发现的脉冲星已逾500颗,多集中于银道面附近。

脉冲星具有高度稳定的周期,大多数介于几十ms到几s之间。此外,绝大多数脉冲星周期缓慢增长,周期变率约为10-13~10-15。脉冲星射电辐射呈高度偏振性,具有幂律谱。

根据脉冲星的观测特征,戈尔德(Gold)于1968年令人信服地论证了脉冲星即高速旋转的磁中子星,使得多年来关于中子星的理论预言终于被证实,这也正是脉冲星最重要的意义所在。

脉冲星表面磁场为偶极磁场,场强高达1011~1013G,内部密度达1014g·cm-3。通常自转轴与磁轴相互倾斜,由此形成射电辐射的“灯塔效应”。

其射电辐射性质为非热致辐射,能量主要来源于自转能的消耗,因而引起自转周期的缓慢增长。关于灯塔效应的几何结构,主要有两类模型,一类是极冠模型,另一类是相对论成束模型。

前者认为辐射源位于脉冲星磁冠区,并沿接近磁轴方向产生辐射。后者认为辐射源位于光速圆柱附近,例如位于光速圆柱与磁赤道面交汇处。从近年的观测资料与研究趋势看,极冠模型逐渐取得主导地位。

关于中子星磁场理论,早期为真空磁偶极场模型(如帕西尼模型)。

1969年,哥德雷西(Goldreich)与朱林(Julian)提出了等离子体磁层模型,后被普遍称之为“标准模型”。该模型认为,高导电性的旋转磁中子星,在磁场方向非平衡静电力的作用下,会产生表面电荷,导致沿磁轴及开放磁力线方向的高能粒子流,产生稳定的星风,并进而形成等离子体磁层。按准直模型(磁轴与自转轴平行)估算,星风携带的能量大体与垂直脉冲星真空场磁偶极辐射能量相当。

当然,所谓标准模型并非成熟的脉冲星理论,持异议者大有人在。

如迈克尔(Michel)认为,磁场中电荷分布最终将使非平衡电荷消失,因而一个准直模型将是一个丧失辐射机制的“死模型”。

贝克尔(Backer)与朗金(Rankin)等人发现脉冲星射电辐射束结构包含两种成分:狭窄的核心束及中空的锥面辐射。进一步分析表明,锥面辐射是极冠发出的相对论粒子沿磁力线运动所产生的相干曲率辐射。这种辐射具有高度偏振性,偏振面平行于磁子午面。随著脉冲星的高速自转,磁子午面也相应旋转。莱恩(Lane)与曼切斯特(Manchester)利用这一特性成功测量了100余颗脉冲星的倾角。

朗金还指出,核心束宽度等于极冠区开放磁力线的张角,这一性质同样可用来测量脉冲星的倾角。从报道看,以上两种方法的测量结果有很好的一致性。

迄今没有发现周期很长及磁场很弱的脉冲星。1986年,劳莱(Rawley)等人根据观测统计结果指出,脉冲星存在的临界条件为B/P2~2×1011

这样的临界条件在lg-lgP分布图上对应于所谓“死线”(dead line),死线以下为脉冲星空白区,称为“死区”(grave yard)。司徒劳克(Sturock)、鲁德曼(Ruderman)及贝斯金(Baskin)等人提出,脉冲星的射电辐射主要起源于极冠区正负电子对的簇射过程。

由此也可导致临界条件,且理论估值与观测结果比较接近。

关于脉冲星的演化,最重要的参量就是周期变化率。

对于孤立的常规脉冲星,由于能量消耗,周期缓慢延长,因此可由周期及其变化率估算脉冲星年龄。甘(Gunn)与奥斯切克(Ostricker)定义脉冲星减速年龄(Spin-down age)为

λ=P/2p

他们测量了14颗脉冲星的减速年龄与磁场,表明磁场随年龄的增长而减弱。

另一类演化参量是银面距Z及其变化率z。

根据统计结果,通常认为,绝大多数脉冲星都是诞生于银道面附近,此后将向两侧高速运动,总体平均速度约为200km·s-1

莱恩等人由此定义脉冲星的动力学年龄(kinetic age)

通常假定脉冲星磁场随时间作指数衰减。设时间常数为td,它可由年龄数据推出。

莱恩等人比较了一些脉冲星的减速年龄与动力学年龄,得出结论:要使这两种年龄数据与理论曲线拟合,磁场衰减常数应为2×106~107a。目前大多数文献采用的典型数值为5×106a。

当然,也不能排除磁场不是按指数律衰减的可能。

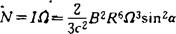
两种年龄的差异,显示了减速力矩的衰减,通常将其归因于磁场的衰减。但不少人持有异议,如昆特(Kundt)、坎迪(Candy)、布莱尔(Blair)及贝斯京等。如脉冲星辐射以磁偶极辐射为主,则减速力矩可表示为

式中,I为转动惯量,Ω为角速度,α为倾角。此式表明,减速力矩除磁场外,还与其他因素有关,如倾角。因此减速力矩的减小,可能意味著脉冲星的自转轴与磁轴有渐趋平行的演化趋势。

莱恩、曼切斯特及朗金用不同方法测量了一批脉冲星的倾角,从他们的共同样品看,测量结果比较一致。但为假设倾角按指数律减小,要与测量数据拟合较好,时间常数须达1000万年,这显然不足以对减速力矩的衰减产生足够贡献。

若非单纯磁偶极辐射,则减速力矩可一般表示为

或改写为

后一式可与观测相比较。仍然是莱恩、曼切斯特与朗金等人的结果表明,α与PP,因而与N无明显相关性。

这表明,减速力矩的减小确实主要起因于磁场的衰减,因而也否定了倾角逐渐减小的演化趋势。

张家铝等人认为,晚期恒星的坍缩过程中,两轴平行的状态不稳定,有倾角增大的趋势,这一观点可从莱恩等人的结果中得到一定程度印证。

近年来脉冲星研究的热点逐渐转向毫秒脉冲星、X射线脉冲星及脉冲双星。迄至1991年,已发现的毫秒脉冲星与脉冲双星共40多颗,已确认的X射线脉冲星30多颗。近年的观测表明,毫秒脉冲星、脉冲双星及X射线脉冲星之间有著强烈的相关性。首先,它们有一些共同的观测特征,例如周期通常较短,表面磁场通常较弱,并常伴有X射线辐射。

在lgB-lgP图上,它们大多远离般脉冲星密集区。特别是,它们的脉冲周期普遍有稳定减小的趋势,这与大多数脉冲星情况相反。进一步统计分析还指出:除毫秒脉冲星外,已知脉冲双星中约有一半周期短于30ms,而全部脉冲星中,约有97%周期大于30ms;大多数脉冲双星与全部毫秒脉冲星,表面磁场B<4×1011G,而全部脉冲星中,约96%B>3×1011G;已知毫秒脉冲星中,约有一半为双星系统,而全部脉冲星中,只有约3%为双星;约有一半的脉冲双星及超过一半的毫秒脉冲星位于球状星团中,而全部脉冲星中,只有约3%是在球状星团中发现。此外,约有相当一部分毫秒脉冲星与脉冲双星同时也是X射线源。

以上事实表明,毫秒脉冲星,脉冲双星及X射线脉冲星可能有著共同本源。现在普遍认为,在双星结构中,一颗趋于衰亡的脉冲星可能通过对伴星的吸积过程而重新加速。

这一设想于1974年最初由别斯诺娃(Bisnovatyi)等人提出,两年后被斯马尔(Smarr)等人的观测所证实。

总结近年的研究结果,可大体得出如下结论:(1)迄今所知的大多数脉冲双星与毫秒脉冲星,可能都经历了由双星吸积所导致的再加速过程,它们可分为两大类:起源于大质量的X射线双星,其伴星可能是一个较大质量的白矮星或中子星。

多数情况下,主星在吸积过程中可能旋入伴星而消亡;也可能因第2次超新星爆发而使双星结构崩溃,遗留下一个孤立的脉冲星。起源于较小质量的X射线双星,伴星为一较小质量的白矮星。这类双星可能因为伴星的“蒸发”而演化成为孤立脉冲星。(2)球状星团中孤立毫秒脉冲星发现率较高,可能是由于:球状星团中密近双星数目较多;星风强度较大;星际碰撞频率较高。后两个原因使得脉冲星的伴星更容易瓦解。(3)脉冲星磁场的衰减,可能是由于吸积物质对表面性质的影响,或者是由于内部量子流体对星体自转的影响。

自脉冲星发现以来,脉冲星研究已取得广泛进展。

但是,仍有许多问题没有解决或没有完全解决。这些问题包括:中子星的结构,特别是深层结构,中子星磁场起源及演化,脉冲星速度与磁场的关系,快速脉冲星磁场衰减的原因,辐射完整机制及能量转换机制,中子星双星起源,两类X射线双星的演化,伴星消亡的确切机制与条件,球状星团中脉冲星起源与数目,个别脉冲星周期反常突变等。此外在观测上,样品的不足、测量数据的缺乏、(特别是时变数据的缺乏),统计取样中的选择效应等,也都是有待解决的问题。

脉冲星研究涉及到射电天文学、X射线天文学、相对论及高能天体物理,随著这些领域的不断发展,可望脉冲星研究在较近期内取得突破性进展。

。【参考文献】:

1 Hewish A,Bell J,et al. Nature.1968,217:709

2 Pacini F. Nature, 1967,216:567

3 Gold T. Nature,1968,218:731

4 Goldreich P.Julian W H. Astrophys. J , 1969,157:869

5 Bisnovatyi G S. -Kogan,Astron. Zh, 1974,51: 373

6 Smarr L L,et al. J Astrophys J , 1976,207:574

7 Backer DC,et al. Nature,1982,300:615

8 Michel F C. Nature,1987,329:310

9 Lane A G,et al. Nature, 1990,347: 650

10 Bhattacharya D,et al. Physics Reports ,1991,203

(安徽师范大学王家庆副教授撰)

上一篇:白矮星
下一篇:现代科技综述大辞典上目录
"脉冲星脉冲星

20世纪60年代后期发现的一类新型恒星。

其主要特征是:周期性地发射出短促的脉冲辐射;周期很短并有非常缓慢的增长现象;脉冲多呈单峰或双峰形状,少数具有多峰结构,脉冲持续时间约为周期的几十分之一到十分之几;脉冲辐射是高偏振的。目前,绝大多数脉冲星只是在射电波段观测在脉冲辐射。对于个别的脉冲星还观测到光学、X射线和γ射线的脉冲辐射、蟹状星云的中心星就是一颗最著名的脉冲星。目前,科学家们认为脉冲星是具有很强磁场的中子星,可能是在超新星爆发中产生的。

随便看

 

离鸟网收录3541549条中英文词条,其功能与新华字典、现代汉语词典、牛津高阶英汉词典等各类中英文词典类似,基本涵盖了全部常用中英文字词句的读音、释义及用法,是语言学习和写作的有利工具。

 

Copyright © 2004-2024 vtrois.com All Rights Reserved
更新时间:2026/4/6 23:55:27