网站首页  词典首页


请输入您要查询的字词:

 

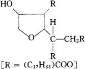
字词 脱水山梨醇三油酸酯[中]
类别 中英文字词句释义及详细解析
释义 脱水山梨醇三油酸酯[中]

C60H108O8(approximate)

CAS-26266-58-0

(Z,Z,Z)-脱水山梨醇酯三十八烯酸酯。

(Z,Z,Z)-Sorbitan,esters,tri-9-octadecenoate.

脱水山梨醇三油酸脂。

Sorbitan trioleate.

药用辅料。

司盘85。

Sorbitan Trioleate.

INN,BAN,USAN.

随便看

 

离鸟网收录3541549条中英文词条,其功能与新华字典、现代汉语词典、牛津高阶英汉词典等各类中英文词典类似,基本涵盖了全部常用中英文字词句的读音、释义及用法,是语言学习和写作的有利工具。

 

Copyright © 2004-2024 vtrois.com All Rights Reserved
更新时间:2026/4/7 23:13:36