网站首页  词典首页


请输入您要查询的字词:

 

字词 脱水板楔形真空区中真空度的分布计算
类别 中英文字词句释义及详细解析
释义 脱水板楔形真空区中真空度的分布计算

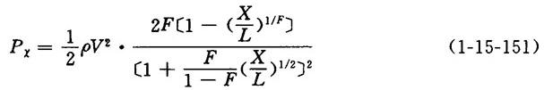
【说明】 真空度的分布可用泰勒(G·I·Taylot)方程式表示。

【公式】

式中 Px——在X剖面处的真空度(Pa)

x——顶面与成形网相接触处的后缘之间的距离(m)

ρ——水的密度(kg/m3)

V——网速(m/s)

F——比值:

μ——水的粘度(Pa·s)

——成形网和其上积层的流阻系数(Pa·s/m)

l——脱水板斜面在水平面上的投影长度(m)

α——楔角

随便看

 

离鸟网收录3541549条中英文词条,其功能与新华字典、现代汉语词典、牛津高阶英汉词典等各类中英文词典类似,基本涵盖了全部常用中英文字词句的读音、释义及用法,是语言学习和写作的有利工具。

 

Copyright © 2004-2024 vtrois.com All Rights Reserved
更新时间:2026/4/7 6:55:08