网站首页  词典首页


请输入您要查询的字词:

 

字词 腐霉利
类别 中英文字词句释义及详细解析
释义 腐霉利

又称菌核酮、速克灵。

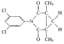
二甲酰亚胺类杀菌剂。化学名称:N(3,5-二氯苯基)-1,2-二甲基环丙烷-1,2,二羰基亚胺。化学结构式如下。原药白色结晶,微溶于水,可溶于丙酮、二甲苯,在日光和潮湿条件下稳定。

内吸性杀菌剂。对葡萄孢霉菌和核盘菌有特效,特别是对多菌灵类产生抗药性菌的地区,可以换用此药。用于防治蔬菜、果树、花卉灰霉病、菌核病等。内吸活性较弱,残效期5星期左右。

药剂作用于菌体细胞膜,阻碍菌体内高分子生物合成,对植物安全,对人畜低毒,小鼠(♀)急性口服LD50为9100mg/kg,经皮LD50>10000mg/kg,慢性毒性,致突变,致畸及三个世代繁殖试验均未发现不良影响。

随便看

 

离鸟网收录3541549条中英文词条,其功能与新华字典、现代汉语词典、牛津高阶英汉词典等各类中英文词典类似,基本涵盖了全部常用中英文字词句的读音、释义及用法,是语言学习和写作的有利工具。

 

Copyright © 2004-2024 vtrois.com All Rights Reserved
更新时间:2026/4/8 5:30:27