网站首页  词典首页


请输入您要查询的字词:

 

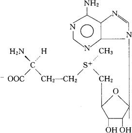
字词 腺苷蛋氨酸
类别 中英文字词句释义及详细解析
释义 腺苷蛋氨酸

C15H22N6O5S=398.44

CAS-17176-17-9

(±)-5′-[(R*)-[(R*)-3-氨基-3-羧丙基]甲锍基]-5′-去氧腺苷氢氧化物的内盐。

(±)-5′-[(R*)-[(R*)-3-Amino-3-carboxypropyl]methylsulfonio]-5′-deoxyadenosine hydroxide, inner salt.

腺嘌呤9-β-核呋喃糖苷蛋氨酸。

Adenine 9-β-ribofuranoside methionine.

抗脂肪肝药。

用于治疗各种肝病。

Ademetionine,Donor,Fo-1561,Gumbaral,Tunik,Samet.

INN,USAN.

随便看

 

离鸟网收录3541549条中英文词条,其功能与新华字典、现代汉语词典、牛津高阶英汉词典等各类中英文词典类似,基本涵盖了全部常用中英文字词句的读音、释义及用法,是语言学习和写作的有利工具。

 

Copyright © 2004-2024 vtrois.com All Rights Reserved
更新时间:2026/4/7 9:10:51