网站首页  词典首页


请输入您要查询的字词:

 

字词 膦胺霉素
类别 中英文字词句释义及详细解析
释义 膦胺霉素

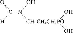
C4H10NO5P=183.10

CAS-66508-53-0

(3-环己烯-1-基羟甲基)丙基膦酸。

(3-Cyclohexen-1-ylhydroxymethyl)propyl phosphonic acid.

[3-(甲酰羟氧基)丙基]膦酸。

[3-(Formylhydroxyamino)propyl]phosphonic acid.

抗生素类药。

Fosmidomycin,FR 31564.

INN,USAN.

随便看

 

离鸟网收录3541549条中英文词条,其功能与新华字典、现代汉语词典、牛津高阶英汉词典等各类中英文词典类似,基本涵盖了全部常用中英文字词句的读音、释义及用法,是语言学习和写作的有利工具。

 

Copyright © 2004-2024 vtrois.com All Rights Reserved
更新时间:2026/4/6 21:20:44