网站首页  词典首页


请输入您要查询的字词:

 

字词 自回归
类别 中英文字词句释义及详细解析
释义 自回归

变量对其前期值的回归,即回归方程中的自变量是因变量的前期值。

自回归方程中的自变量如果仅取前一期的值,则称为一阶自回归;如果取前K个时期的值,则称为K阶自回归。经济计量研究中应用最普遍的自回归模型是如下的简单一阶自回归模型:

式中,P称为自相关系数;Vt是具有零均值、常数方差、彼此不相关的随机变理。

对U的滞后值连续进行代换,可得到:

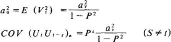
U的数学期望、方差和协方差如下:

EUt=0

随便看

 

离鸟网收录3541549条中英文词条,其功能与新华字典、现代汉语词典、牛津高阶英汉词典等各类中英文词典类似,基本涵盖了全部常用中英文字词句的读音、释义及用法,是语言学习和写作的有利工具。

 

Copyright © 2004-2024 vtrois.com All Rights Reserved
更新时间:2026/5/31 18:39:46