网站首页  词典首页


请输入您要查询的字词:

 

字词 自由水清除率
类别 中英文字词句释义及详细解析
释义 自由水清除率

又称无溶质水清除率,是反应远端肾小管浓缩稀释功能的一项试验。

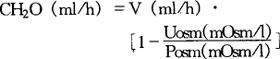
其计算方法为:

CH2O:自由水清除率。

V:每小时尿量。

Uosm:尿渗透分子浓度。

Posm:血浆渗透分子浓度。

正常值为(70±54)ml/h。肾功能不全时,尿浓缩及稀释功能均降低,尿渗透分子浓度与血浆渗透分子浓度接近,故自由水清除率接近零。

随便看

 

离鸟网收录3541549条中英文词条,其功能与新华字典、现代汉语词典、牛津高阶英汉词典等各类中英文词典类似,基本涵盖了全部常用中英文字词句的读音、释义及用法,是语言学习和写作的有利工具。

 

Copyright © 2004-2024 vtrois.com All Rights Reserved
更新时间:2026/5/25 11:30:13