网站首页  词典首页


请输入您要查询的字词:

 

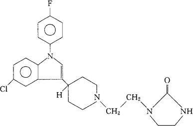
字词 舍吲哚
类别 中英文字词句释义及详细解析
释义 舍吲哚

C24H26ClFN4O=440.95

CAS-106516-24-9

1-[2-[4-[5-氯-1-(对-氟苯基)吲哚-3-基]哌啶基]乙基]-2-咪唑啉酮。

1-[2-[4-[5-Chloro-1-(p-fluorophenyl)indol-3-yl]piperidino]ethyl]-2-imidazolidinone.

抗精神病药。

Sertindole.

INN,USAN.

随便看

 

离鸟网收录3541549条中英文词条,其功能与新华字典、现代汉语词典、牛津高阶英汉词典等各类中英文词典类似,基本涵盖了全部常用中英文字词句的读音、释义及用法,是语言学习和写作的有利工具。

 

Copyright © 2004-2024 vtrois.com All Rights Reserved
更新时间:2026/4/7 19:28:52