网站首页  词典首页


请输入您要查询的字词:

 

字词 舒多昔康
类别 中英文字词句释义及详细解析
释义 舒多昔康

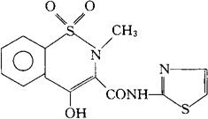
C13H11N3O4S2=337.37

CAS-34042-85-8

4-羟-2-甲基-N-2-噻唑基-2H-1,2-苯并噻嗪-3-羧酰胺,1,1-二氧化物。

4-Hydroxy-2-methyl-N-2-thiazolyl-2H-1,2-benzothiazine-3-carboxamide,1,1-dioxide.

消炎药。

Sudoxicam,Cp 15973.

INN,BAN,USAN.

随便看

 

离鸟网收录3541549条中英文词条,其功能与新华字典、现代汉语词典、牛津高阶英汉词典等各类中英文词典类似,基本涵盖了全部常用中英文字词句的读音、释义及用法,是语言学习和写作的有利工具。

 

Copyright © 2004-2024 vtrois.com All Rights Reserved
更新时间:2026/4/8 17:43:23