网站首页  词典首页


请输入您要查询的字词:

 

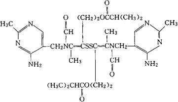
字词 舒布硫胺
类别 中英文字词句释义及详细解析
释义 舒布硫胺

C32H46N8O6S2=702.89

CAS-3286-46-2

N,N′-[二硫代双[2-(2-羟乙基)-1-甲基亚乙烯基]]双[N-[(4-氨基-2-甲基-5-嘧啶基)甲基]甲酰胺]二异丁酸酯。

N。N′-[Dithiobis[2-(2-hydroxyethyl)-1-methylvinylene]]bis[N-[(4-amino-2-methyl-5-pyrimidinyl)methyl]formamide]diisobutyrate(ester).

抗抑郁药。

Sulbutiamine.

INN,USAN.

随便看

 

离鸟网收录3541549条中英文词条,其功能与新华字典、现代汉语词典、牛津高阶英汉词典等各类中英文词典类似,基本涵盖了全部常用中英文字词句的读音、释义及用法,是语言学习和写作的有利工具。

 

Copyright © 2004-2024 vtrois.com All Rights Reserved
更新时间:2026/4/5 15:11:27