网站首页  词典首页


请输入您要查询的字词:

 

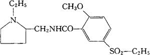
字词 舒托必利
类别 中英文字词句释义及详细解析
释义 舒托必利

C17H26N2O4S=354.46

CAS-53583-79-2

N-[(1-乙基-2-吡咯烷基)甲基]-5-乙磺酰-邻-甲氧苯甲酰胺。

N-[(1-Ethyl-2-pyrrolidinyl)methyl]-5-ethylsulfonyl-o-anisamide.

安定药。

乙磺必利。

Sultopride.

INN,DCF,NFN,USAN,MI.

随便看

 

离鸟网收录3541549条中英文词条,其功能与新华字典、现代汉语词典、牛津高阶英汉词典等各类中英文词典类似,基本涵盖了全部常用中英文字词句的读音、释义及用法,是语言学习和写作的有利工具。

 

Copyright © 2004-2024 vtrois.com All Rights Reserved
更新时间:2026/5/25 17:57:25