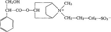
舒托泊铵
C20H29NO6S=411.51 CAS-15130-91-3 8-(3-磺丙基)阿托品鎓氢氧化物内盐。 8-(3-Sulfopropyl)atropinium hydroxide inner salt. 3-(3-羟-1-氧代-2-苯基丙氧)-8-甲基-8-(3-磺丙基)- 8-氮鎓杂环[3.2.1]辛烷氢氧化物,内盐。 3-(3-Hydroxy-1-oxo-2-phenylpropoxy)-8-methyl-8-(3-sulfopropyl)-8-azoniabicyclo[3.2.1]octane hydroxide,inner salt. 抗胆碱药,解痉药。 Sultroponium,Sultropan,A 118. INN,USAN. 
|