网站首页  词典首页


请输入您要查询的字词:

 

字词 舒那格雷
类别 中英文字词句释义及详细解析
释义 舒那格雷

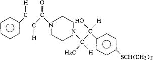
C25H32N2O2S=424.60

CAS-85418-85-5

赤式-4-肉桂酰-1-对-(异丙基硫代)苯-β-甲基-1-哌嗪乙醇。

erythro-4-Cinnamoyl-1-p-(isopropylthio)phenyl-β-methyl-1-piperazineethanol.

1-(4-异丙基硫代苯基)-2-(4-肉桂酰哌嗪-1-基)-1-丙醇。

1-(4-Isopropylthiophenyl)-2-(4-cinnamoylpipera-zine1-yl)-1-propanol.

抗凝药。

Sunagrel,MG 23010.

INN,DCIT,USAN.

随便看

 

离鸟网收录3541549条中英文词条,其功能与新华字典、现代汉语词典、牛津高阶英汉词典等各类中英文词典类似,基本涵盖了全部常用中英文字词句的读音、释义及用法,是语言学习和写作的有利工具。

 

Copyright © 2004-2024 vtrois.com All Rights Reserved
更新时间:2026/4/9 4:20:11