网站首页  词典首页


请输入您要查询的字词:

 

字词 艾沙莫坦
类别 中英文字词句释义及详细解析
释义 艾沙莫坦

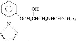
C16H22N2O2=274.36

CAS-55050-95-8

(±)-1-(异丙氨基)-3-(邻-吡咯-1-基苯氧)-2-丙醇。

(±)-1-(Isopropylamino)-3-(o-pyrrol-1-ylphenoxy)-2-propanol.

(±)-1-[1-(1-甲基乙基)氨基]-3-[2-(1H-吡咯-1-基)-苯氧]-2-丙醇。

(±)-1-[1-(1-Methylethyl)amino]-3-[2-(1H-pyrrol1-yl)phenoxy]-2-propanol.

抗焦虑药,安定药。

Isamoltan.

INN,SUAN.

随便看

 

离鸟网收录3541549条中英文词条,其功能与新华字典、现代汉语词典、牛津高阶英汉词典等各类中英文词典类似,基本涵盖了全部常用中英文字词句的读音、释义及用法,是语言学习和写作的有利工具。

 

Copyright © 2004-2024 vtrois.com All Rights Reserved
更新时间:2026/4/7 0:14:33