网站首页  词典首页


请输入您要查询的字词:

 

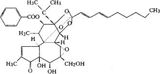
字词 芫花萜[中]
类别 中英文字词句释义及详细解析
释义 芫花萜[中]

C37H44O10=648.29

12-(苯甲酰氧基)-22,23,24,25-四去氢单纯杆菌素(12β,22E,24E).

12-(Benzoyloxy)-22,23,24,25-tetradehydrosimplexin(12β,22E,24E).

中期妊娠引产药。

芫花酯甲。

Yuanhuacin A,Yuanhuacin Gnidilatidin,Odoracin,Stillingia Factor S6.

随便看

 

离鸟网收录3541549条中英文词条,其功能与新华字典、现代汉语词典、牛津高阶英汉词典等各类中英文词典类似,基本涵盖了全部常用中英文字词句的读音、释义及用法,是语言学习和写作的有利工具。

 

Copyright © 2004-2024 vtrois.com All Rights Reserved
更新时间:2026/5/31 22:05:00