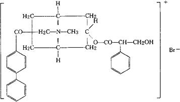
芬托溴铵
C31H34BrNO4=564.52 CAS-5868-06-4 3α-羟-8-(对-苯基苯乙酰)-1αH,5αH-托烷鎓(-)-托品酸溴化物。 3α-Hydroxy-8-(p-phenylphenacyl)-1αH,5αH-tropanium bromide(-)-tropate. 8-[2-(1,1-联苯)-4-基-2-氧代乙基]-3-(3-羟-1-氧-2-苯基丙氧)-8-甲基-8-氮鎓双环[3,2,1]辛烷溴化物。8-[2-(1,1-Bipenyl)-4-yl-2-oxoethyl]-3-(3-hydnoxy1-oxo-2-phenylpropoxy)-8-methyl-8-azoniabicyclo[3,2,1]-octane bromide. 抗胆碱药,解痉药,抗溃疡药。 Fentonium Bromide,Z 326,Fa 402,Dicasten,Fensketilium,Icifen,Ketoscilium,UIcesium,Ulgesium, INN,USAN,MI.  |