花叶假杜鹃
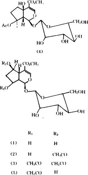
【概况】: 异名 刺血红、七星剑、血路草(广州空军《常用中草药手册》)。 基源 为爵床科假杜鹃属植物花叶假杜鹃的全株。假杜鹃属植物全世界约230种;中国有3种,均可药用。 原植物 花叶假杜鹃Barleria lupulina Lindl. 形态 灌木,高约2m。茎多分枝。 叶对生,披针形或卵状披针形,长4~8cm,顶端渐尖,基部楔形,全缘,两面有白色柔毛;叶柄短,叶柄基部有一对向下倾斜的针刺,紫红色。穗状花序顶生或腋生;花黄色;苞片大;萼片4,成对,外面一对最大;花冠长,5裂。 蒴果。花期夏秋。 (图见《中药大辞典》.上册.2169条图) 生境与分布 生于山谷湿地村旁,或于园圃中栽培。分布广东、广西。 。【生药】: 采集 全年可采。 【化学】: 地上部分含多种环烯醚萜甙类:山栀甙甲酯(Shanzhiside methy ester)(1)、假杜鹃精(Barlerin,8-O-Acetylshanzhiside methyl eter)(2)、乙酰假杜鹃精(Acetylbarlerin,6,8-O,O-Diacetylshanzhiside methyl enter)(3)[1],少量的Ipolamidoside(4)和新化合物氧乙酰山栀甙甲酯(O-Acetylshanzhiside methyl eter)(5)[2]。  参考文献 [1] J Nat prod 1986;49(1)∶179 [2] Aust J Chem 1987;40(5)∶785 【药性】: 性味 辛、苦,温。 功效 通经活络,解毒消肿。 主治 毒蛇咬伤,犬咬伤,跌打损伤,痈肿,外伤出血。 用法用量 内服:煎汤,6~9g。 外用:捣敷。 使用注意 孕妇忌服。。 【临床应用】: 单方应用 《全国中草药汇编》:“治毒蛇咬伤,犬咬伤,跌打损伤,痈肿,外伤出血:花叶假杜鹃6~9g,内服。孕妇忌服。外用适量,鲜叶捣烂敷患处。” |