网站首页  词典首页


请输入您要查询的字词:

 

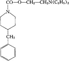
字词 苄利沙酯
类别 中英文字词句释义及详细解析
释义 苄利沙酯

C19H30N2O2=318.46

CAS-24671-26-9

4-苄基-1-哌啶羧酸,2-(二乙氨基)乙酯。

4-Benzyl-1-piperidinecarboxylic acid,2-(diethylamino)ethyl ester.

4-(苯甲基-1-哌啶羧酸2-(二乙氨基)乙酯。

4-(Phenylmethyl-1-piperidine carboxylic acid 2-(diethylamino)ethyl ester.

抗心律失常药。

Benrixate.

INN,DCF,USAN.

随便看

 

离鸟网收录3541549条中英文词条,其功能与新华字典、现代汉语词典、牛津高阶英汉词典等各类中英文词典类似,基本涵盖了全部常用中英文字词句的读音、释义及用法,是语言学习和写作的有利工具。

 

Copyright © 2004-2024 vtrois.com All Rights Reserved
更新时间:2026/4/7 4:20:23