网站首页  词典首页


请输入您要查询的字词:

 

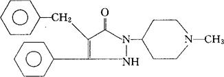
字词 苄哌立隆
类别 中英文字词句释义及详细解析
释义 苄哌立隆

C22H25N3O=347.46

CAS-53-89-4

4-苄基-1-(1-甲基-4-哌啶基)-3-苯基-3-吡唑啉-5-酮。

4-Benzyl-1-(1-methyl-4-piperidinyl)-3-phenyl-3-pyrazolin-5-one.

1,2-二氢-2-(1-甲基-4-哌啶基)-5-苯基-4-(苯甲基)-3H-吡唑-3-酮。

1,2-Dihydro-2-(1-methyl-4-piperidinyl)-5-phenyl-4-(phenylmethyl)-3H-pyrazol-3-one.

消炎药。

哌苯唑酮。

Benzpiperylon,KB 95,Benzpiperilone,Benzometan Telon,Reublonil.

INN,USAN,MI.

随便看

 

离鸟网收录3541549条中英文词条,其功能与新华字典、现代汉语词典、牛津高阶英汉词典等各类中英文词典类似,基本涵盖了全部常用中英文字词句的读音、释义及用法,是语言学习和写作的有利工具。

 

Copyright © 2004-2024 vtrois.com All Rights Reserved
更新时间:2026/4/7 23:22:50