网站首页  词典首页


请输入您要查询的字词:

 

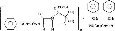
字词 苄星青毒素V
类别 中英文字词句释义及详细解析
释义 苄星青毒素V

(C16H18N2O5S)2·C16H20N2=941.12

CAS-5928-84-7

CAS-63690-57-3(tetrahydrate)

CAS-87-08-1(penicillin V)

[2S-(2α,5α,6β)]-3,3-二甲基-7-氧代-6-[(2-苯氧乙酰)氨基]-4-硫杂-1-氮杂双环[3.2.0]庚烷-2-羧酸,与N,N′-双(苯基甲基)-1,2-乙烷二胺(2∶1)的化合物。

[2S-(2α,5α,6β)]-3,3-Dimethyl-7-oxo-6-[(2-phenoxyacetyl)amino]-4-thia-1-azabicyclo[3.2.0]heptane-2-carboxylic acid,compd.with N,N′-bis(phenylmethyl)-1,2-ethanediamine(2∶1).

(2S,5R,6R)-3,3-二甲基-7-氧代-6-(2-苯氧乙酰胺基)-4-硫杂-1-氮杂双环[3.2.0]庚烷-2-羧酸与N,N′-二苄基乙烯二胺(2∶1)的化合物。

(2S,5R,6R)-3,3-Dimethyl-7-oxo-6-(2-phenoxyacetamido)-4-thia-1-azabicyclo[3.2.0]heptane-2-carboxylic acid compound with N,N′-dibenzylethylenediamine(2∶1).

抗生素类药,抗菌药。

Penicillin V Benzathine,Benzathine Benzylpencillin,Penicillin Benzathine Phenoxymethyl.

USAN,USP.

随便看

 

离鸟网收录3541549条中英文词条,其功能与新华字典、现代汉语词典、牛津高阶英汉词典等各类中英文词典类似,基本涵盖了全部常用中英文字词句的读音、释义及用法,是语言学习和写作的有利工具。

 

Copyright © 2004-2024 vtrois.com All Rights Reserved
更新时间:2026/4/7 8:13:41