网站首页  词典首页


请输入您要查询的字词:

 

字词 苄星青霉素G[中]
类别 中英文字词句释义及详细解析
释义 苄星青霉素G[中]

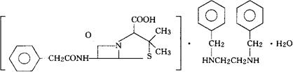
(C16H18N2O4S)2·C16H20N2·4H2O=981.22

CAS-41372-02-5

苄基青霉素N,N′-二苄基乙二胺盐(2∶1)四水化合物。

N,N′-Dibenzylethylenediamine salt of benzylpenicillin(2∶1)tetrahydrate.

抗生素类药。用于预防葡萄球菌、链球菌、肺炎球菌、淋球菌、脑膜炎球菌及螺旋体等感染。

苄星青霉素,二苄基乙二胺苄青霉素(台),长效青霉素,比西林。

Benzathine Benzylpenicillin,Enzathine Benzyl Penicillin G,Penicillin G Benzathine Bicillin,Benzathine Penicillin G.

注射用苄星青霉素G,苄乙二胺青霉素注射悬液(台),注射用苄星青霉素。

INN,BAN,BP,DCF,DCIT,EP,GDP,GFP,JP,NFN,USAN,USP,MI.

随便看

 

离鸟网收录3541549条中英文词条,其功能与新华字典、现代汉语词典、牛津高阶英汉词典等各类中英文词典类似,基本涵盖了全部常用中英文字词句的读音、释义及用法,是语言学习和写作的有利工具。

 

Copyright © 2004-2024 vtrois.com All Rights Reserved
更新时间:2026/4/6 17:05:44