网站首页  词典首页


请输入您要查询的字词:

 

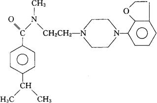
字词 苄非哌胺
类别 中英文字词句释义及详细解析
释义 苄非哌胺

C25H31N3O2=405.54

CAS-100927-14-8

N-[2-[4-(7-苯并呋喃酸基)-1-哌嗪基]乙基]-对-异丙基-N-甲基苯甲酰胺。

N-[2-[4-(7-Benzofuranoyl)-1-piperazinyl]ethyl]-pisopropyl-N-methylbenzamide.

抗精神病药。

Befiperide.

INN,USAN.

随便看

 

离鸟网收录3541549条中英文词条,其功能与新华字典、现代汉语词典、牛津高阶英汉词典等各类中英文词典类似,基本涵盖了全部常用中英文字词句的读音、释义及用法,是语言学习和写作的有利工具。

 

Copyright © 2004-2024 vtrois.com All Rights Reserved
更新时间:2026/4/6 14:36:45