苏联棉分级标准
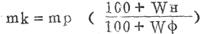
苏联棉分级标准是以棉纤维的内在质量为依据。 也是以物理性能分级的主要国家及代表性国家之一。其以棉纤维物理性能即强力、成熟度为主划分等级的首创国家。 按强力、成熟度分为7个级,即特级(O级)、Ⅰ级、Ⅱ级、Ⅲ级、Ⅳ级、Ⅴ级、Ⅵ级,对每个级均规定出明确的指标,如下表所示:  苏联棉纤维长度,分为相差1毫米的各种长度,如下所示:  每批皮棉,应按扣补水杂含量后的条件重量验收。 条件重量mk(公斤)即为扣补水分、杂质后的重量,可按下式计算出:  式中,mp为棉纤维计算重量(公斤),WΦ为实际回潮率(%),WH为标准回潮率(%)。 棉纤维的计算重量mp按下式计算: mp=MΦ-M′  式中,mΦ为按实际回潮率折算的棉纤维实际重量(公斤),m′为依据皮棉的疵点及尘杂率对整批皮棉应扣补的重量(公斤),εΦ为皮棉的实际疵点及尘杂含量(%),εp为皮棉的疵点及尘杂含量的计算标准(%)。 计算精度要求到小数点后第一位,并将余数进为整数。 |