苛化石灰消耗量的计算
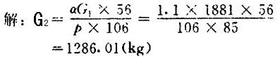
(一)方法一 【说明】 根据苛化反应: CaO+H2O+Na2CO3 2NaOH+CaCO3/p> 1molCaO 1molNa↓(2 CO3 即56gCaO正好与106gNa2CO3完全作用,故可导出其计算式如下: 【公式】  式中 G2——石灰消耗量(kg) G1——绿液中Na2CO3含量(kg) p——石灰的纯度(%) α—石灰过量系数,通常取1.05~1.10 【例2】 求例1中的石灰用量。a取1.1  (二)方法二 【公式】  式中 G1——石灰用量(kg/t浆) A——蒸煮清耗的有效碱(kg/t浆)(Na2O计) S——白液的硫化度(%) m——苛化率(%) a——石灰过量系数,同上 p——石灰中有效CaO含量(%) |