网站首页  词典首页


请输入您要查询的字词:

 

字词 苦菜
类别 中英文字词句释义及详细解析
释义 苦菜

【名称出处】:《本经》

【概况】:

异名 荼、芑(《诗经》),荼草、选(《本经》),游冬(《别录》),青菜、紫苦菜(《滇南本草》),苦苣、苦荬、天香菜(《纲目》),滇苦菜、苦马菜(《植物名实图考》),麻苦苣(《甘肃中草药手册》),小鹅菜(《云南药用植物名录》),苦苣菜(《浙江药用植物志》)。

基源 为菊科苦苣菜属植物苦苣菜的全草。

原植物 苦苣菜Sonchus oleraceus L.

历史 苦菜《本经》列为上品。《嘉祐本草》将苦菜与苦苣分列两条。《纲目》载:“春初生苗,有赤茎、白茎二种,其中空而肥,折之有白汁出。叶似花萝卜菜叶,而色绿带碧,上叶抱茎,梢叶似鹤嘴,每叶分叉,撺挺如穿叶状,开黄花,如初绽野菊,一花结子一丛,如茼蒿子及鹤虱子,花罢则收敛。子上有白毛茸茸,随风飘扬,落处即生。

”此描述所指,原植物似本品。但从本草和现实应用,古今苦菜名实,还应进一步考证。

形态 一年生草本,根纺锤形。茎中空,直立,高50~100cm,无毛或中上部被稀疏腺毛。下部叶柄有翅,基部扩大抱茎,叶片长椭圆状倒披针形,长10~20cm,宽3~8cm,羽状深裂,大头状羽状全裂或半裂,裂片边缘有不整齐的刺状齿或小尖齿;茎中上部叶无柄,基部宽大戟耳形。头状花序在茎枝顶组成伞房状;总苞钟状,径6~10mm,暗绿色;总苞片2~3层,草质,边缘膜质,背面疏被腺毛,外层的较短,披针形,长3~4mm,中层长圆状披针形,长7~8mm,顶端钝,内层的与中层同形,长约10mm;全为舌状花,两性,黄色。

瘦果长椭圆状倒卵形,压扁,成熟后红褐色,每面有3纵肋,肋间有细皱纹;冠毛细软,白色。花果期3~10月。

(图见《中国高等植物图鉴》.第4册.684页.图6781)

生境与分布 生于山坡路边或荒野。

本种为世界广布种。

。【化学】:

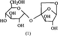
含蒲公英甾醇、蒲公英甾醇乙酸酯、蒲公英甾醇苯酸酯、二氢蒲公英甾醇、二氢蒲公英甾醇乙酸酯、胡萝卜素、核黄素、维生素C、木犀草甙、金丝桃甙、蒙花甙、芹菜素、槲皮素、山柰酚、木犀草素、东莨菪素、马栗树皮素[1]。地上部分还含新的二糖(1)[2]

参考文献 [1] 新华本草纲要.第3册.上海科学技术出版社,1990:465 [2] CA 1991;114:182026r

【药性】:

性味 苦,寒。

❶ 《本经》:“苦,寒。”

归经 ❶ 《本草经疏》:“入心、脾、胃三经。”
❷ 《本草求真》:“入心、胃、大肠经。”

功效 清热,凉血,解毒。

主治 痢疾,黄疸,血淋,痔瘘,疔肿,蛇咬。 ❶ 《本经》:“主五藏邪气,厌谷胃痹。”
❷ 《别录》:“疗肠澼,渴,热中疾,恶疮。耐饥寒。


❸ 《日华子本草》:“敷蛇咬。”
❹ 《本草衍义》:“折之白乳汁出,常常点瘊子自落。”
❺ 《滇南本草》:“凉血热,寒胃,发肚腹中诸积,利小便。”
❻ 《本草会编》:“明目,主诸痢。”
❼ 《纲目》:“治血淋痔瘘。”
❽ 《医林纂要》:“泻心解暑,去热除烦,通乳。”

用法用量 内服:煎汤、打汁或研末。外用:捣汁涂或煎水熏洗。

使用注意 ❶ 《本草经疏》:“脾胃虚寒者忌服。”
❷ 《随息居饮食谱》:“不可共蜜食。”

。【临床应用】:

配伍应用 ❶ 配灯芯,治扑蛇瘴。

❷ 配金银花,治妇女子宫及附件的炎症。
❸ 配野菊花,治扁桃体炎。

❹ 配蒲公英,治胆道感染。

方选和验方 ❶ 《普济方》:“治朴蛇瘴:野苦马汁、灯芯(浸水良久捻其末)。和服之。”
❷ 《食物中药与便方》:“治妇女子宫内膜炎、宫颈炎、白带腥臭及子宫附件炎:苦菜30g,金银花、蒲公英各15g。同煎服。”
❸ 《食物中药与便方》:“治流感、急性咽炎及扁桃体炎:苦菜30~60g,野菊花15g。水煎服。


❹ 《食物中药与便方》:“治胆道感染,胆囊炎:苦菜30g,与蒲公英等量,水煎服。”

单方应用 ❶ 内蒙古《中草药新医疗法资料选编》:“治慢性气管炎:苦菜500g,大枣20枚。苦菜煎烂,取煎液煮大枣,待枣皮展开后取出,余液熬成膏。

早晚各服膏20g,大枣1枚。”
❷ 《摘元方》:“治壶蜂叮鳌:苦菜汁涂之。”
❸ 《唐瑶经验方》:“治对口疮:野苦荬擂汁150ml,入姜汁15ml,酒和服,以渣敷。”
❹ 《滇南本草》:“治妇入乳结红肿疼痛:紫苦菜捣汁水煎,点水酒服。”
❺ 《食物中药与便方》:“治化脓性阑尾炎.痈疮.蜂窝组织炎,无名肿毒,妇女乳痈:苦菜30~60g(鲜品加倍).水煎服。”
❻ 《食物中药与便方》:“治急性乳腺炎:鲜苦菜60~90g,洗切,白酒120g,煮半小时。1日分2次服。”

食疗 ❶ 江西《草药手册》:“治肝硬化:苦菜、酢浆草各30g。同猪肉烧服。


❷ 江西《草药手册》:“治小儿疳积:苦菜30g,同猪肝炖服。”

随便看

 

离鸟网收录3541549条中英文词条,其功能与新华字典、现代汉语词典、牛津高阶英汉词典等各类中英文词典类似,基本涵盖了全部常用中英文字词句的读音、释义及用法,是语言学习和写作的有利工具。

 

Copyright © 2004-2024 vtrois.com All Rights Reserved
更新时间:2026/5/27 11:07:52