网站首页  词典首页


请输入您要查询的字词:

 

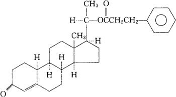
字词 苯丙酸奥索孕酮
类别 中英文字词句释义及详细解析
释义 苯丙酸奥索孕酮

C29H38O3=434.62

CAS-16915-80-3

CAS-3643-00-3(oxogestone)

(20β)20-(1-氧代-3-苯丙氧)-19-去甲孕甾-4-烯-3-酮。

(20β)20-(l-Oxo-3-phenylpropoxy)-19-norpregn-4-en-3-one.

20β-羟-19-去甲孕甾-4-烯-3-酮,氢化肉桂酸酯。

20β-Hydroxy-19-norpregn-4-en-3-one hydrocinnamate.

孕激素类药。

Orogestine Phenpropionate.

INN(Oxogestone),USAN.

随便看

 

离鸟网收录3541549条中英文词条,其功能与新华字典、现代汉语词典、牛津高阶英汉词典等各类中英文词典类似,基本涵盖了全部常用中英文字词句的读音、释义及用法,是语言学习和写作的有利工具。

 

Copyright © 2004-2024 vtrois.com All Rights Reserved
更新时间:2026/4/7 3:51:33