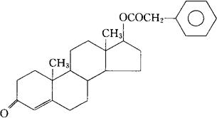
苯乙酸睾丸素[中]
C27H34O3=406,56 CAS-5704-03-0 17-[(苯乙酰)氧]雄甾-4-烯-3-酮。 17-[(Phenylacetyl)oxy]androst-4-en-3-one. 睾丸素苯乙酸酯。 Testosterone phenylacetate. 雄性激素类药。用于垂体侏儒症、再生障碍性贫血、无睾症等。 长效睾丸素,苯乙酸睾酮,睾酮苯乙酸酯,苯乙酸睾酮。 Testosterone Phenylacetate,Perandren Phenylacetate. 苯乙酸睾丸素注射液(苯乙酸睾酮注射液)。 USAN,MI. 
|