网站首页  词典首页


请输入您要查询的字词:

 

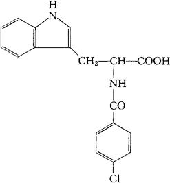
字词 苯佐色氨酸
类别 中英文字词句释义及详细解析
释义 苯佐色氨酸

C18H15ClN2O3=342.78

CAS-39544-74-6

N-(对-氯苯甲酰)-L-色氨酸。

N-(p-Chlorobenzoyl)-L-tryptophan.

抗消化性溃疡药。

Benzotript.

INN,USAN.

随便看

 

离鸟网收录3541549条中英文词条,其功能与新华字典、现代汉语词典、牛津高阶英汉词典等各类中英文词典类似,基本涵盖了全部常用中英文字词句的读音、释义及用法,是语言学习和写作的有利工具。

 

Copyright © 2004-2024 vtrois.com All Rights Reserved
更新时间:2026/4/5 18:23:00