网站首页  词典首页


请输入您要查询的字词:

 

字词 苯唑西林钠
类别 中英文字词句释义及详细解析
释义 苯唑西林钠

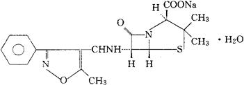
C19H18N3NaO5S·H2O=441.43

CAS-7240-38-2

CAS-1173-88-2(anhydrous)

[2S-(2α,5α,6β)]-3,3-二甲-6-[[(5-甲基-3-苯基-4-异噁唑基)羰基]氨基]-7-氧代-4-硫代-1-氮朵双环[3.2.0]庚烷-2-羧酸,单钠盐一水化合物。

[2S-(2α,5α,6β)]-3,3-Dimethyl-6-[[(5-methyl-3-phenyl-4-isoxazolyl)carbonyl]amino]-7-oxo-4-thial-azabicyclo[3.2.0]heptane-2-carboxylic acid,monosodium salt,monohydrate.

(2S,5R,6R)-3,3-二甲基-6-(5-甲基-3-苯基-4-异噁唑甲酰胺基)-7-氧代-4-硫代-氮朵双环[3.2.0]庚烷-2-羧酸钠一水化合物。

Monosodium(2S,5R,6R)-3,3-dimethyl-6-(5-methyl-3-phenyl-4-isoxazolecarboxamido)-7-oxo-4-thia-l-azabicyclo[3.2.0]heptane-2-carboxylate monohydrate.

抗生素类药。

苯唑青霉素钠,苯甲异噁唑青霉素钠。

Oxacillin Sodium,P-12,SQ 16,423.

苯唑青霉素钠片,苯唑青霉素胶囊,注射用苯唑青霉素。

INN & BAN(Oxacillin),USAN,USP,MI.

随便看

 

离鸟网收录3541549条中英文词条,其功能与新华字典、现代汉语词典、牛津高阶英汉词典等各类中英文词典类似,基本涵盖了全部常用中英文字词句的读音、释义及用法,是语言学习和写作的有利工具。

 

Copyright © 2004-2024 vtrois.com All Rights Reserved
更新时间:2026/4/5 18:05:03