网站首页  词典首页


请输入您要查询的字词:

 

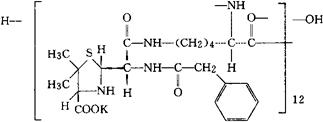
字词 苯培诺赖
类别 中英文字词句释义及详细解析
释义 苯培诺赖

C264H350K12N48O61S13=6025.85

CAS-61990-92-9

N6-[D-2-[(2R,4S)-4-羧基-5,5-二甲基-2-噻唑烷基]-N-(苯乙酰基)甘氨酰]-L-赖氨酸单钠盐,十二肽。

N6-[D-2-[(2R,4S)-4-Carboxy-5,5-dimethyl-2-thiazolidinyl]-N-(phenylacetyl)glycyl]-L-lysinemonopotassium salt,dodecapeptide.

诊断用药。

十二肽钾盐。

INN,USAN.

随便看

 

离鸟网收录3541549条中英文词条,其功能与新华字典、现代汉语词典、牛津高阶英汉词典等各类中英文词典类似,基本涵盖了全部常用中英文字词句的读音、释义及用法,是语言学习和写作的有利工具。

 

Copyright © 2004-2024 vtrois.com All Rights Reserved
更新时间:2026/4/7 10:20:23