网站首页  词典首页


请输入您要查询的字词:

 

字词 苯妥英[中]
类别 中英文字词句释义及详细解析
释义 苯妥英[中]

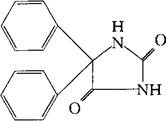
C15H12N2O2=252.27

CAS-57-41-0

5,5-二苯基乙内酰脲。

5,5-Diphenylhydantoin.

抗癫痫药。用于大发作型癫痫及快速型室性心律失常。

二苯妥因(台),二苯乙内酰脲。

Phenytoin,Diphenylhydantoin.

INN,BP,DCF,DCIT,EP,FP,GDP,JP,NF,NFN,USAN,USP,MI.

随便看

 

离鸟网收录3541549条中英文词条,其功能与新华字典、现代汉语词典、牛津高阶英汉词典等各类中英文词典类似,基本涵盖了全部常用中英文字词句的读音、释义及用法,是语言学习和写作的有利工具。

 

Copyright © 2004-2024 vtrois.com All Rights Reserved
更新时间:2026/4/6 14:56:43