网站首页  词典首页


请输入您要查询的字词:

 

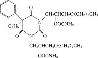
字词 苯巴双氨酯
类别 中英文字词句释义及详细解析
释义 苯巴双氨酯

C28H42N4O9=578.66

CAS-15687-09-9

1,3-双(3-丁氧-2-羟丙基)-5-乙基-5-苯巴比土酸二氨基甲酸酯。

1,3-bis(3-Butoxy-2-hydroxypropyl)-5-ethyl-5-phenylbarbituricacid dicarbamate.

催眠镇静药。

苯巴氨酯。

Difebarbamate.

INN,DCF,NFN,USAN.

随便看

 

离鸟网收录3541549条中英文词条,其功能与新华字典、现代汉语词典、牛津高阶英汉词典等各类中英文词典类似,基本涵盖了全部常用中英文字词句的读音、释义及用法,是语言学习和写作的有利工具。

 

Copyright © 2004-2024 vtrois.com All Rights Reserved
更新时间:2026/5/28 10:06:26