网站首页  词典首页


请输入您要查询的字词:

 

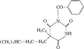
字词 苯戊巴比妥
类别 中英文字词句释义及详细解析
释义 苯戊巴比妥

C18H22N2O4=330.38

1-苯甲酰基-5-乙基-5-异戊基巴比妥酸。

1-Benzoyl-5-ethyl-5-isopentylbarbituric acid.

抗癫痫药。用于治疗间脑性癫痫和症状性癫痫,也用于真性癫痫和皮质性癫痫。还可用于儿童癫痫患者。

Benzobamyl.

苯戊巴比妥片。

随便看

 

离鸟网收录3541549条中英文词条,其功能与新华字典、现代汉语词典、牛津高阶英汉词典等各类中英文词典类似,基本涵盖了全部常用中英文字词句的读音、释义及用法,是语言学习和写作的有利工具。

 

Copyright © 2004-2024 vtrois.com All Rights Reserved
更新时间:2026/4/9 15:46:01