网站首页  词典首页


请输入您要查询的字词:

 

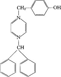
字词 苯拉利嗪
类别 中英文字词句释义及详细解析
释义 苯拉利嗪

C24H26N2O=358.48

CAS-52395-99-0

α-[4-(二苯基甲基)-1-哌嗪基]-对-甲酚。

α-[4-(Diphenylmethyl)-1-piperazinyl]-p-cresol.

血管扩张药。

双苯哌甲酚。

Belarizine.

INN,USAN.

随便看

 

离鸟网收录3541549条中英文词条,其功能与新华字典、现代汉语词典、牛津高阶英汉词典等各类中英文词典类似,基本涵盖了全部常用中英文字词句的读音、释义及用法,是语言学习和写作的有利工具。

 

Copyright © 2004-2024 vtrois.com All Rights Reserved
更新时间:2026/4/7 6:30:29