网站首页  词典首页


请输入您要查询的字词:

 

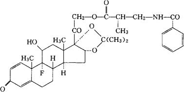
字词 苯曲安奈德
类别 中英文字词句释义及详细解析
释义 苯曲安奈德

C35H42FNO8=623.72

CAS-31002-79-6

9-氟-11β,16α-17,21-四羟孕甾-1,4-二烯-3,20-二酮与丙酮复合成环16,17-乙缩醛与N-苯甲酰-2-甲基-β-丙氨酸生成21-酯。

9-Fluoro-11β,16α-17,21-tetrahydroxypregna-1,4-diene-3,20-dione cyclic 16,17-acetal with acetone21-ester with N-benzoyl-2-methyl-β-alanine.

肾上腺皮质激素类药,消炎药。

Triamcinolone Benetonide,Alcorten,Benecorten.

INN,USAN,MI.

随便看

 

离鸟网收录3541549条中英文词条,其功能与新华字典、现代汉语词典、牛津高阶英汉词典等各类中英文词典类似,基本涵盖了全部常用中英文字词句的读音、释义及用法,是语言学习和写作的有利工具。

 

Copyright © 2004-2024 vtrois.com All Rights Reserved
更新时间:2026/4/7 18:05:19