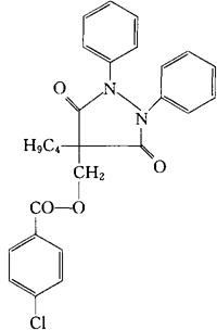
苯氯布宗
C27H25ClN2O4=476.96 CAS-23111-34-4 对-氯苯甲酸4-丁基-4-(羟甲基)-1,2-二苯基-3,5-吡唑烷二酮酯。 p-Chlorobenzoic acid,ester with 4-butyl-4-(hydroxymethyl)-1,2-diphenyl-3,5-pyrazolidinedione. (4-丁基-3,5-二氧代-1,2-二苯基-4-吡唑烷基)甲基-4-氯苯甲酸酯。 (4-Butyl-3,5-dioxo-1,2-diphenyl-4-pyrazolidinyl)-methyl 4-chlorobenzoate. 镇痛药,解热消炎药。 Feclobuzone,AE-9,Feclozona,Flogomen. INN,USAN.  |