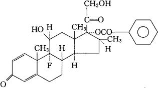
苯甲酸倍他米松
C29H33FO6=496.57 CAS-22298-29-9 (11β,16β)-17-(苯甲酰氧基)-9-氟-11,21-二羟基-16-甲基-孕甾-1,4-二烯-3,20-二酮。 (11β,16β)-17-(Benzoyloxy)-9-fluoro-11,21-dihydroxy-16-methyl-,pregna-1,4-diene-3,20-dione. 9-氟-11β,17,21-三羟基-16β-甲基孕甾-1,4-二烯-3,20-二酮17-苯甲酸酯。 9-Fluoro-11β,17,21-trihydroxy-16β-methylpregna1,4-diene-3,20-dione-17-benzoate. 肾上腺皮质激素类药。 苯甲酸倍他米松酯。 Betamethasone Benzoate,W 5975,Benisone,Uticor BAN,USAN,USP.  |