网站首页  词典首页


请输入您要查询的字词:

 

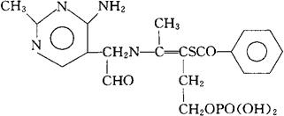
字词 苯硫磷胺
类别 中英文字词句释义及详细解析
释义 苯硫磷胺

C19H23N4O6PS=466.45

CAS-22457-89-2

N-[(4-氨基-2-甲基-5-嘧啶基)甲基]-N-(4-羟基-2-巯基-1-甲基-1-丁烯基)甲酰胺S-苯甲酸酯O-磷酸酯。

N-[(4-Amino-2-methyl-5-pyrimidinyl)methyl]-N(4-hydroxy-2-mercapo-1-methyl-1-butenyl)formamide S-benzoate O-phosphate.

维生素类药。

Benfotiamine,8088 C.B.,Biotamin,Neurostop,Vitanevril,Benzoylthiamine Monophosphate.

INN,DCF,USAN,MI.

随便看

 

离鸟网收录3541549条中英文词条,其功能与新华字典、现代汉语词典、牛津高阶英汉词典等各类中英文词典类似,基本涵盖了全部常用中英文字词句的读音、释义及用法,是语言学习和写作的有利工具。

 

Copyright © 2004-2024 vtrois.com All Rights Reserved
更新时间:2026/4/8 4:32:54