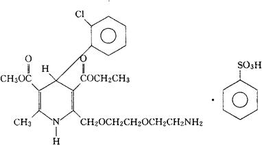
苯磺酸氨氯地平
C20H25ClN2O5·C6H6O3S=567.05 CAS-111470-99-6 CAS-88150-42-9(amlodipine) (±)-2-[(2-氨基乙氧基)甲氧基]-4-(邻-氯苯基)-1,4-二氢-6-甲基-3,5-吡啶二羧酸3-乙酯,5-甲酯苯磺酸盐。 3-Ethyl 5-methyl(±-)-2-](2-aminoethoxy)methoxy]- 4-(o-chlorophenyl)-l,-4-dihydro-6-methyl-3,5-pyridinedicarboxylate,monobenzenesulfonate. 抗高血压药。 苯磺酸安洛地平。 Amlodipine Besylate,UK-48,340-26. INN & BAN(Amlodipine),USAN.  |