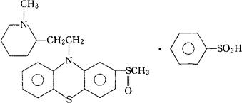
苯磺酸美索达嗪
C21H26N2OS2·C6H6O3S=544.74 CAS-32672-69-8 CAS-5588-33-0(mesoridazine) 10-[2-(1-甲基-2-哌啶基)乙基]-2-(甲基亚磺酰基)-10H-吩噻嗪,单苯磺酸盐。 10-[2-(1-Methyl-2-piperidinyl)ethyl]-2-(methylsulfinyl)-10H-phenothiazine,monobenzenesulfonate. 10-[2-(1-甲基-2-哌啶基)乙基]-2-(甲基亚磺酰)吩噻嗪单苯磺酸盐。 10-[2-(1-Methyl-2-piperidyl)ethyl]-2-(methylsulfinyl)phenothiazine monobenzenesulfonate. 抗精神病药,安定药。 Mesoridazine Besylate,Lidanar,Lidanil,Lidanor,Serentil,NC 123. INN & BAN(Mesoridazine),USAN,USP. 
|