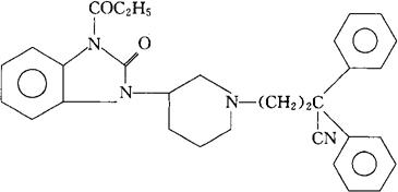
苯腈米特
C31H32N4O2=492.62 CAS-15301-48-1 1-[1-(3-氰基-3,3-二苯基丙基)-4-哌啶基]-1,3-二氢-3-(1-氧丙基)-2H-苯并咪唑-2-酮。 1-[1-(3-Cyano-3,3-diphenylpropyl)-4-piperidinyl]-1,3-dihydro-3-(1-oxopropyl)-2H-benzimi-dazol-2-one. 1-(3-氰基-3,3-二苯基丙基)-4-(2-氧-3-丙酰-1-苯并咪唑啉基)哌啶。 1-(3-Cyano-3,3-diphenylpropyl)-4-(2-oxo-3-propionyl-1-benzimidazolinyl)piperidine. 镇痛药,镇吐药。 Bezitramide,R 4845,Benzitramide,Burgodin. INN,BAN,DCF,USAN,MI.  |