网站首页  词典首页


请输入您要查询的字词:

 

字词 苯芬群
类别 中英文字词句释义及详细解析
释义 苯芬群

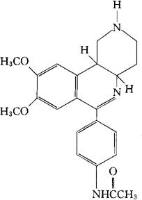
C23H27N3O3=393.48

CAS-35135-01-4

顺式-4′-(1,2,3,4,4a,10b-六氢-8,9-二甲氧基-2-甲基-苯并[c][1,6]-二氮杂萘-6-基)乙酰苯胺。

cis-4′-(1,2,3,4,4a,10b-Hexahydro-8,9-dimethoxy2-methy1benzo[c][1,6]naphthyridin-6-yl)acetanilide

强心药。

Benafentrine.

INN,USAN.

随便看

 

离鸟网收录3541549条中英文词条,其功能与新华字典、现代汉语词典、牛津高阶英汉词典等各类中英文词典类似,基本涵盖了全部常用中英文字词句的读音、释义及用法,是语言学习和写作的有利工具。

 

Copyright © 2004-2024 vtrois.com All Rights Reserved
更新时间:2026/4/6 23:51:47