网站首页  词典首页


请输入您要查询的字词:

 

字词 茚达曲林
类别 中英文字词句释义及详细解析
释义 茚达曲林

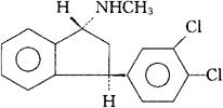
C16H15Cl2N=292.21

CAS-86939-10-8

(±)反-3-(3,4-二氯苯基)-N-甲基-1-二氢化茚胺。

(±)trans-3-(3,4-Dichlorophenyl)-N-methyl-1-indanamine.

(±)-反式-3-(3,4-二氯苯基)-2,3-二氢-N-甲基-1H茚-1-胺。

(±)-trans-3-(3,4-Dichlorophenyl)-2,3-dilydro-Nmethyl-1H-inden-1-amine.

抗抑郁药。

吲达曲林。

Indatraline.

INN,USAN.

随便看

 

离鸟网收录3541549条中英文词条,其功能与新华字典、现代汉语词典、牛津高阶英汉词典等各类中英文词典类似,基本涵盖了全部常用中英文字词句的读音、释义及用法,是语言学习和写作的有利工具。

 

Copyright © 2004-2024 vtrois.com All Rights Reserved
更新时间:2026/4/7 6:52:43