网站首页  词典首页


请输入您要查询的字词:

 

字词 茯苓皮
类别 中英文字词句释义及详细解析
释义 茯苓皮

【概况】:

基源 为多孔菌科卧孔属真菌茯苓的菌核外皮。

原植物 茯苓Poria cocos(Schw.)Wolf

余项参见“茯苓”条。

【生药】:

采集、产地见“茯苓”条。

鉴别 本品多为长条状,大小不,外表面黑褐色或棕褐色,有疣状突起,内部白色或灰棕色。体软质松,具弹性。

贮藏 置干燥处。

【化学】:

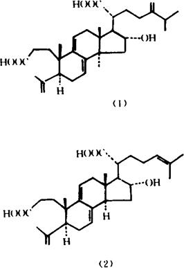
1991年有人从茯苓皮中分得两个新的三萜成分Poricoic Acid A(1)和B(2)。

参考文献 Phytochemistry 1991;30(8)∶2796

【药性】:

性味 甘、淡,平。

《四川中药志》:“平,甘、淡。”

功效 利水,消肿。

主治 水肿肤胀,小便不利。 ❶ 《纲目》:“主水肿肤胀,开水道,开腠理。”
❷ 《医林纂要》:“行皮肤之水。”

用法用量 内服:煎汤,9~15g。

。【临床应用】:

方选和验方 ❶ 五皮散(《中藏经》)治男子妇人脾胃停滞,头面四肢悉肿,心腹胀满,上气促急,胸膈满闷,痰延上壅,饮食不下,行步气奔,状如水病:茯苓皮、生姜皮、桑白皮、陈橘皮、大腹皮各等份。

上为粗末,每服9g,水煎,去渣,不拘时候温服。忌生冷油腻硬物。
❷ 《经验良方》:“治水肿:茯苓皮、椒目2味不拘多少,水煎服。”
❸ 《实用中药手册》:“治水肿胀满,小便短赤:茯苓皮、泽泻各15g,水煎服。”。【医药家论述】:

《中国医学大辞典》:“茯苓皮行水而不耗气,胜似大腹皮。”

随便看

 

离鸟网收录3541549条中英文词条,其功能与新华字典、现代汉语词典、牛津高阶英汉词典等各类中英文词典类似,基本涵盖了全部常用中英文字词句的读音、释义及用法,是语言学习和写作的有利工具。

 

Copyright © 2004-2024 vtrois.com All Rights Reserved
更新时间:2026/4/6 20:29:50