网站首页  词典首页


请输入您要查询的字词:

 

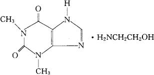
字词 茶碱乙醇胺
类别 中英文字词句释义及详细解析
释义 茶碱乙醇胺

C7H8N4O2·C2H7NO=241.25

CAS-573-41-1

CAS-58-55-8(theophylline)

3,7-二氢-1,3-二甲基-1H-嘌呤-2,6-二酮,与2-氨基乙醇(1∶1)的化合物。

3,7-Dihydro-1,3-dimethyl-1H-purine-2,6-dione, compd with 2-aminoethanol(1∶1).

茶碱与2-氨基乙醇(1∶1)的化合物。

Theophylline compound with 2-aminoethanol(1∶1).

利尿药,心脏兴奋药,平滑肌松驰药和血管扩张药。

Theophylline Olamine,Monotheamin,Theamin.

USAN,USP.

随便看

 

离鸟网收录3541549条中英文词条,其功能与新华字典、现代汉语词典、牛津高阶英汉词典等各类中英文词典类似,基本涵盖了全部常用中英文字词句的读音、释义及用法,是语言学习和写作的有利工具。

 

Copyright © 2004-2024 vtrois.com All Rights Reserved
更新时间:2026/4/7 19:53:06